martes, 24 de junio de 2014

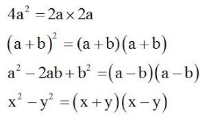
¿QUE SIGNIFICA FACTORIZAR?


Factorizar significa expresar un número como el producto de otros números menores por los cuales este se puede dividir o también la expresión de un polinomio como el producto de polinomios más simples.


¿por que se le llama factorear o factorizar?

por que a los elementos de una multiplicación se les denomina factores; por ejemplo  

2 x 3 = 6  donde 2 y 3 son los factores 


VIDEO TUTORIAL





No hay comentarios.:

Publicar un comentario